Admission Process

Dear Student,

  • Thank you for the interest in applying to our College. You would find the Disciplinary rules and regulations along with the terms and conditions of application for admission to the College.
  • Please read the attached Disciplinary rules and regulations carefully, to be fully aware of the same before you proceed to make an application to the College.

Please do not forget to attach all the relevant documents as required in the check list.

We take this opportunity to wish you the very best.!!!

With Best Regards.

Documents needed for admission to BHMS-I

The original and a certified Xerox copy of the following documents must be submitted along with the application, which shall be considered null and void if it is incomplete.

  • Certificate of Nationality enclosed in Annexure A.
  • Certificate of passing SSC Board Examination.
  • Mark - list of HSSC (10 + 2).
  • Mark - list of MH-CET-2010 Examination (where needed).
  • Physical Fitness Medical Certificate (as prescribed in Annexure B).
  • Caste Certificate (where needed).
  • Caste Validity Certificate (where needed).
  • Non-creamy layer Certificate (where needed).
  • Migration Certificate (where needed).
  • Transfer Certificate.
  • Passport Size Photo - 3.

Lists of students-2012-2013

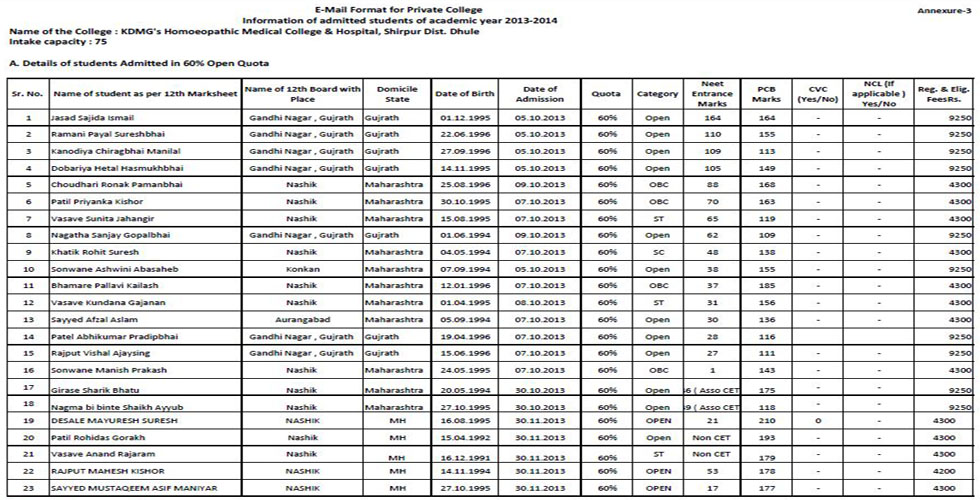
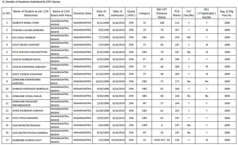
Lists of students-2013-2014

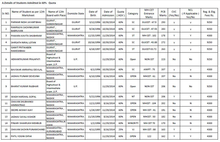
Lists of students-2014-2015

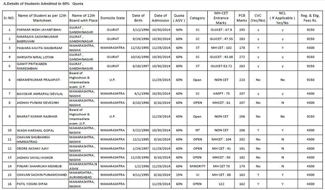
Lists of students-2015-2016

It is found in cross checking that 15 students have compliance about MHCET 2015 Marksheet.

There name are as follows:

At the same time 2 students have not submitted Domicile proof namely Bhosle Shubhangi, Paraskar Vishnu .Kindly Send the documents thru Email on directorayurvedmaha@gmail.com and CC to this mail id.

  • Adhange Avinika
  • Bhosle Shubhangi
  • Chavhan pooja
  • Goske Vyankatesh
  • Pathak Jyotibala
  • Kanojiya Sheela
  • Kushvah Vishnukumari
  • Mahajan Anjaliben
  • Nishad Khushbu
  • Pal Amitkumar
  • Patil Raksha
  • Pawar Tarunkumar
  • Pawar Ankita
  • Sharma Radheshyam
  • Wadhariya Ahmedraja

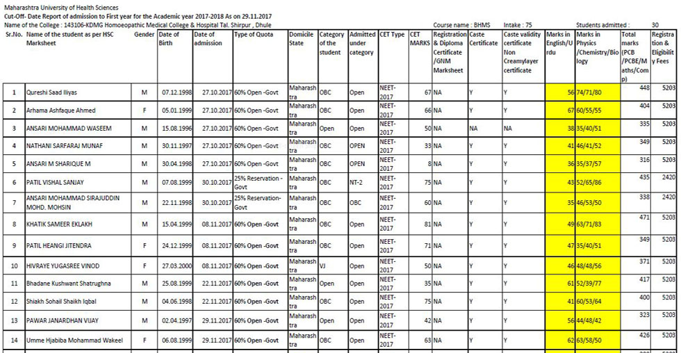
Lists of students-2017-2018